安全工程专业课程 
	井巷工程 
	
	金洪伟 &  双海清
		 西安科技大学安全科学与工程学院
	 
	返回目录⇡ 
 
	如何浏览? 
	
		从浏览器地址栏打开 https://zimo.net/jhgc/  ; 
		点击章节列表中的任一链接,打开相应的演示文稿; 
		点击链接打开演示文稿,使用空格键或方向键导航; 
		按f 键进入全屏播放,再按Esc 键退出全屏; 
		按Alt 键同时点击鼠标左键进行局部缩放; 
		按Esc 或o 键进入幻灯片浏览视图。 
	 
	请使用最新版本浏览器 访问此演示文稿以获得更好体验。 
 
	目  录 
	
		概述 
		岩石的物理性质 
		岩石的力学性质 
		岩体工程分级 
	 
 
	第一节 概述 
	井巷工程的主要问题是破岩 和井巷维护 ,因此需要了解岩石的物理、力学性质,对其作出工程分级,以便为设计、施工、维护和成本计算提供依据。
 
	第一节 概述 
	一、岩石、岩块和岩体 
	
		岩石 
		组成地壳的基本物质,它由各种造岩矿物或岩屑在地质作用下按一定规律组合而成;或称其为矿物的集合体。 
		岩块 
		从地壳岩层中切取出来的小块体;或者指岩体中由弱面分割包围的块体。 
		弱面 
		在地质历史(尤其是地质构造变形)中所形成的具有一定方向、厚度较小和一定延展长度的地质界面,如岩体中存在的节理、断层、层面以及软弱夹层等,又称结构面 或不连续面 。 
		岩体 
		地下工程周围较大范围的自然地质体。 
	 
	岩体 = 岩块 + 弱面
 
	二、岩体与岩石特征对比 
	
		岩体与岩石特征对比 
		 
	 
 
	
		岩体与岩石特征对比(续) 
		 
	 
 
	三、岩石的分类 
	
		 
		岩石的分类(按成因) 
	 
 
	
		 
		花岗岩 
	 
 
	
		 
		流纹岩 
	 
 
	
		 
		闪长岩 
	 
 
	
		 
		安山岩 
	 
 
	
		 
		玄武岩 
	 
 
	
		 
		金伯利岩 
	 
 
	
		 
		大理岩 
	 
 
	
		 
		石英岩 
	 
 
	
		 
		角砾岩 
	 
 
	
		 
		砾岩 
	 
 
	
		 
		砂岩 
	 
 
	
		 
		粉砂岩 
	 
 
	
		 
		泥岩 
	 
 
	
		 
		页岩 
	 
 
	
		 
		炭质页岩 
	 
 
	
		 
		石灰岩 
	 
 
	第二节 岩石的物理性质 
	一、岩石的相对密度和密度 
	
		相对密度 (\( \Delta \)):岩石固体部分实体积(不包括孔隙体积)的重量与相同体积的 4℃ 水的重量之比; 
		天然密度 :岩石在天然含水状态下的密度; 
		饱和密度 (\( { \rho  }_{ s }^{ ' } \)):岩石在吸水饱和状态下的密度; 
		干密度 (\( { \rho  }_{ d }^{ ' } \)):岩石在 105~110℃ 下干燥 24h 后的密度; 
		体积力 (\( \gamma \)):单位体积(包括孔隙体积)内岩石的质量所受的重力,又称岩石的容重 。 
	 
 
	第二节 岩石的物理性质 
	二、岩石的孔隙性 
	岩石的孔隙性 是岩石中孔洞和裂隙发育度的指标,常用孔隙度 (也称孔隙率 )表示,有时也用孔隙比 表示。
	
		 
	 
	
		 
	 
 
	第二节 岩石的物理性质 
	三、岩石的水理性质 
	1. 岩石的吸水性 
	遇水不崩解的岩石在一定实验条件下(规定的试样尺寸和实验压力)吸入水分的性能称为岩石的吸水性 。通常以岩石的吸水率  w 表示。
	
		 
	 
 
	
		某些岩石的相对密度、密度、孔隙比和吸水率指标 
		 
	 
 
	三、岩石的水理性质 
	2. 岩石的透水性 
	岩石能被水透过的性能称为岩石的透水性 。当水在岩石中的流速较低时,其流动状态为层流,这时流速与压力梯度成正比(达西定律),即
	\[v =  - \frac{K}{\mu } \cdot \frac{{\partial p}}{{\partial x}}\]
	
	式中,v  为水在岩石中的流速,K  为岩石的渗透率 ,μ  为水的动力粘性系数(又称绝对粘度),∂p /∂x  则为在 x  轴方向的水压力梯度。
	3. 岩石的溶蚀性 
	由于水的化学作用而把岩石中某些物质带走的现象称为岩石的溶蚀 。
 
	三、岩石的水理性质 
	4. 岩石的软化性 
	岩石的软化性 是指岩石浸水后其强度降低的性质,通常用软化系数  η c  表示水对岩石强度的影响程度。
	
		 
	 
	
		某些常见岩石的软化系数值 
		 
	 
 
	三、岩石的水理性质 
	5. 岩石的膨胀性和崩解性 
	岩石的膨胀性和崩解性主要是松软岩石 所表现出来的特征,尤其是含有大量黏土矿物(如蒙脱石 、高岭土 和水云母 等)的软岩。
	岩石的膨胀性 是指软岩浸水后体积增大的性质,相应地会引起压力的增大。岩石遇水膨胀的特性可用膨胀应力 和膨胀率 两个指标表示。
	岩石的崩解性 是指软岩浸水后发生的崩解现象。
 
	第二节 岩石的物理性质 
	四、岩石的碎胀性和压实性 
	岩石的碎胀性 是岩石破碎后的体积比破碎前的体积增大的性质。
	
		 
	 
	岩石的压实性 是岩石破碎后,在其自重和外加载荷作用下逐渐压实使体积减小的性质。
	
		几种常见岩石的碎胀系数 
		 
	 
 
	第三节 岩石的力学性质 
	岩石的力学性质 是岩石在外力作用下所表现出来的性质。
	
		 
	 
 
	一、岩石的变形特征 
	岩石的变形性质 是指岩石在不同类型受载下发生形状和体积的变化的性质。
	1. 静荷载单向受压条件下岩石的变形特征 
	
		OA  段 :微裂隙及裂隙闭合阶段。又称裂隙压密闭合阶段。 
		AB  段 :可恢复弹性变形阶段。曲线呈直线,又称线弹性阶段。 
		BC  段 :部分弹性变形至微裂隙扩展阶段。C  点称为屈服极限 ,这时岩石处于最密实状态。 
		CD  段 :非稳定裂隙扩展至岩石结构破坏阶段。微裂隙迅速增加和不断扩展,体积开始膨胀,最终岩石结构完全破坏。D  点对应的应力又称峰值强度 或单向抗压强度 。 
		DE  段 :微裂隙聚结与扩展阶段。裂隙继续扩展,呈分叉状,互相连接成宏观断裂面,应力随应变增加而减小。 
		EF  段 :沿破裂面滑移阶段。岩石分离成一系列碎块体。应力降低至残余强度 。 
	 
 
	
		 
		页岩全应力-应变曲线与软钢应力-应变全程曲线 
		
			a-比例极限;b-屈服极限(弹性极限);bc-屈服平台; c-屈服平台终端;d-软钢强度极限
	 
 
	
		岩石全应力-应变曲线特征 
		 
	 
 
	一、岩石的变形特征 
	2. 岩石全应力-应变曲线及变形特征的工程意义 
	由岩石全应力-应变曲线可得:
	
		岩石在达到极限强度以后,仍然存在着承载能力。 
		在岩体已经开裂破坏而尚未垮落的情况下,如能采取适当支护措施制止或缓和岩体变形,则岩体破坏就会停止或缓和而仍然保持相当大的承载能力。 
		充分利用岩石自身承载能力是地下岩石工程的重要原则。  
	 
 
	2. 岩石全应力-应变曲线及变形特征的工程意义 
	
		岩石变形破坏的不同阶段其声发射特征不同,声发射反映岩石损伤的程度,利用声发射技术可以探测岩石性质和状态的变化,从而对岩体破坏进行预报。 
		岩体在塑性变形阶段会发生体积膨胀,称作扩容现象 ,该性质对于研究巷道变形和围岩对支护造成的压力等问题有重要意义。 
		根据永久变形或全变形量大小的不同,岩石分为脆性岩石和塑性岩石。如弹性大的岩石,消耗的凿岩及爆破能量更多;脆性大的岩石,易于受冲击破碎,宜选用高猛度炸药;塑性显著的岩石,宜使用旋转式钻眼爆破法,并可选用低威力炸药。 
	 
 
	一、岩石的变形特征 
	3. 岩石在三向静荷载压缩条件下的变形特征 
	在自然环境条件下,岩体绝大多数处于三向压缩状态,研究岩石在三向压缩下的变形特性更有实际意义。岩石在三轴压缩条件下,随着围压等增加,其变形特征如下:
	
		弹性段与单向压缩下的变形规律基本相同。 
		多数岩石在单向或三向低围压应力状态下表现出脆性特性,但在三向高围压应力状态下,脆性岩石在破坏前却表现出明显的塑性特征。 
		屈服极限、强度峰值和残余强度都与围压大小成正比关系。 
		大部分岩石在一定的临界围压下出现屈服平台,呈现塑性流动现象。 
		达到临界围压以后继续提高围压,不再出现峰值,应力应变呈单调增长趋势。 
	 
 
	
		 
		不同围压下大理岩的应力-应变曲线 
	 
 
	一、岩石的变形特征 
	
		 
		凿岩机活塞冲击钎尾时的 作用力随时间变化曲线 
	 
	4. 动荷载下岩石的变形特征 
	在冲击凿岩和爆破破岩时,岩石承受的是冲击载荷 而非静载荷。这时岩石承受的载荷是关于时间的函数(见右图)。
	岩石在动载荷作用下的变形和位移是以扰动 的形式传播的,这种扰动的传播叫做波 。
	同时,变形将引起质点间的应力和应变,这种应力—应变的变化的传播叫做应力波 或应变波 。
 
	4. 动荷载下岩石的变形特征 
	
		 
		由冲击端面产生的变形 
	 
	右图中,冲击载荷 P  施加于岩石右端面,形成扰动。若 Δl  为扰动位移,cP   为质点扰动的传播速度(即波速 ),Δt  为质点扰动的传播时间,则 Δt  时间内变形范围为 cP  ‧Δt 。此时,岩石试件中只有 cP  ‧Δt  段产生变形,其他部分仍处于原始静止状态。
	因此,岩石的动载荷变形特征和静载荷变形特征有本质的区别。在动载荷作用下的变形不是整体的均匀变形,质点的运动速度也不是整体一致的,变形和速度都有一个传播过程。
 
	4. 动荷载下岩石的变形特征 
	
		应力波 。炸药在岩石介质中爆炸时,其冲击压力以波动形式向四外传播,这种波统称为应力波。 
		波阵面 。 介质中扰动区域与未扰动区域的界面称为波阵面。根据波阵面的几何形状可分为平面波、柱面波和球面波等。 
		波速  。扰动在介质中的传播表现为波阵面的前进,波阵面(即扰动)的传播速度即为波速,它的传播方向就是波阵面的推进方向。常见的材料的应力波波速约为100~1000m/s。弹性介质中纵波的波速为\(c = \sqrt {E/\rho } \)。 
		质点速度 。介质质点本身的运动速度为质点速度,质点速度与波速是不同的。 
		体积波 和表面波 。在介质内部传播的波叫做体积波,只沿介质体的边界传播的波叫做表面波。 
	 
 
	4. 动荷载下岩石的变形特征 
	
		波阻抗 。波在介质中传播时,作用于某个面积上的压力与单位时间内垂直通过此面积的质点流量(即面积乘质点振动速度)之比,具有阻力的含义,称为波阻抗,其数值等于介质密度 ρ  与波速 c  的乘积。它的物理意义是在岩石中引起扰动使质点产生单位振动速度所必须的应力。波阻抗越大,产生单位振动速度所需应力就大。通常认为选用的炸药波阻抗若与岩石波阻抗相匹配(接近一致),则能取得较好的爆破效果。 
		纵波 和横波 。 波的传播方向和质点运动方向一致的波称为纵波,波的传播方向和质点运动方向垂直的波称为横波(又称剪切波)。 
		加载波 和卸载波 。对介质加压,使介质压密就是加载;对已受力的介质减压,使介质稀疏就是卸载。当波阵面通过一个介质微团时,其效果是使微团压密的就是加载波(也称作压缩波);使微团稀疏的就是卸载波(也称作拉伸波)。 
	 
 
	4. 动荷载下岩石的变形特征 
	
		波的叠加 。介质中同时存在几列波时,每列波能保持各自的传播规律而不互相干扰。在波的重叠区域里各点的振动的物理量等于各列波在该点引起的物理量的矢量和。在两列波重叠的区域里,任何一个质点同时参与两个振动,其振动位移等于这两列波分别引起的位移的矢量和,当两列波振动方向在同一直线上时,这两个位移的矢量和在选定正方向后可简化为代数和。 
		波的反射 。任何一弹性波当其达到材料的某一自由表面时将会发生反射,对于一纵波,因为自由表面的应力必须为零,所以反射脉冲与入射脉冲方向相反(压缩反射为拉伸,反之亦然)。弹性波在材料的固定端也会发生反射,因为固定端处的速度必须为零,所以固定端产生的反射波在形状和强度上完全不发生改变。岩体中节理对应力波的传播产生了很大的影响,对于靠近震源的高频波,节理通常会起滤波作用。 
	 
 
	第三节 岩石的力学性质 
	二、岩石的强度特征 
	在外荷载作用下,岩石抵抗破坏的能力称为岩石强度 。岩石在静荷载作用下的强度和在动荷载作用下的强度是不同的。
	1. 静荷载下的岩石强度性质 
	按外力性质的不同,将岩石强度分为抗压强度 、抗拉强度 和抗剪强度 。
 
	1. 静荷载下的岩石强度性质 
	岩石的静荷载强度有如下主要性质:
	
		在大多数情况下,岩石表现为脆性破坏。 
		同一种岩石的强度非常数,且变化范围广。影响岩石强度的因素包括岩石的组成成分、颗粒大小、胶结程度、生成条件、层理构造、孔隙度、温度、湿度、风化程度、受力状态和时间等。 
		在不同受力状态下,岩石的极限强度相差悬殊。岩石强度的大小关系为:三轴等压抗压 > 三轴不等压抗压 > 双向抗压 > 单轴抗压 > 抗剪 > 抗弯 > 抗拉 。岩石的单轴抗拉强度一般为单轴抗压强度的1/10左右。 
	 
	在工程中要尽量使岩体处于有利的受力状态,充分发挥岩体的强度,力求避免岩体处于受拉状态。
 
	
		常见岩石的强度参数 
		 
	 
 
	2. 动荷载下的岩石强度性质 
	岩石在冲击荷载作用下,无论是抗压强度还是抗拉强度都比静荷载作用下要大。
	
		几种岩石的动、静载荷下的强度值 
		 
	 
 
	第三节 岩石的力学性质 
	三、岩石的硬度 
	岩石的硬度 ,一般理解为岩石抵抗其他较硬物体侵入的能力。对于凿岩而言,因为钻具对孔底岩石的破碎方式多数情况是局部压碎,因此岩石的硬度比岩石单向抗压强度更具有实际意义。
	根据试验方式的不同,岩石的硬度有刻画硬度 (常以莫氏硬度 表示)、压入硬度 和回弹硬度 三类。
	参考知识 :维基百科硬度条目 (条目镜像 )
 
	第三节 岩石的力学性质 
	四、岩石的可钻性和可爆性 
	可钻性 和可爆性 用来表示钻眼或爆破岩石的难易程度,是岩石物理力学性质在钻眼或爆破的具体条件下的综合反映。常用工艺性指标 来表示岩石的可钻性和可爆性。
	
		可钻性表示 :可以采用钻速、钻每米炮眼所需要时间、钻头进尺(钎头在变钝以前的进尺数)、钻每千米炮眼磨钝的钎头数或破碎单位体积岩石消耗的能量等来表示。 
		可爆性表示 :可以采用爆破单位体积岩石所消耗的炸药、爆破单位体积岩石所需炮眼长度或单位炸药的爆破量、每米炮眼的爆破量等来表示岩石的可爆性。 
	 
 
	第四节 岩石工程分级 
	岩体分级 是人们认识工程围岩的一种重要手段。建立岩体分级系统的目的主要是解决地下工程支护设计问题,对合理地选用施工方法、施工设备、机具和器材,准确地制定生产定额和材料消耗定额等具有重要作用。
	目前,国内外有关岩体分级的方法很多,有一般性的分级,也有专门性的分级。有定性的,也有定量的。分级原则和考虑的因素也各有不同。
 
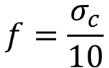
	一、普氏分级法 
	由前苏联学者普罗托奇雅可诺夫于1926年提出。该方法用坚固性系数 f 表示岩石破坏的难易程度,又称普氏系数 。该值与岩石单向抗压强度σc  有如下关系:
	
		 
	 
	该方法形式简单,使用方便,因此应用广泛。但该方法仅考虑岩石单向抗压强度,没有反映岩体的特征,不能正确评价围岩的稳定性。
 
	
		岩石按坚固性分级一览表 
		 
	 
 
	二、RQD 分级 
	RQD (Rock Quality Designation Index)即岩石质量指标 ,是国际上通用的鉴别岩石工程性质好坏的方法。美国伊利诺斯大学狄勒在1964年形成该标准,1967年以出版的形式首次提出该概念。
	该方法利用钻孔的修正岩芯采取率来评价岩石质量的优劣,即用直径为 75mm 的金刚石钻头和双层岩芯管在岩石中钻进,回次钻进所取岩芯中,长度大于 10cm 的岩芯段长度之和与该回次进尺的比值,以百分比表示。计算 RQD 的步骤见下页图。
 
	
		 
		岩石质量测定及计算过程 
	 
 
	二、RQD 分级 
	RQD 分级简单、费用省并能再现,在欧美应用广泛,常被用于在隧道工程中选择支护时的参考。但该方法没有考虑岩体中结构面发育特征(不连续面的刚度、方向、连续性及充填材料等)的影响,也没有考虑岩块性质的影响以及这些因素的综合效应,因此不能全面地反映岩体的质量。
	
		岩石质量指标 
		 
	 
 
	三、原煤炭部制定的围岩分级 
	1988年,原煤炭工业部根据全国 58 条试验巷道的地质特征、井巷开挖后围岩的稳定状态,将围岩共分为 5 类,见下页表。
	这种围岩分类法,充分考虑了围岩节理、裂隙影响,为选择锚喷支护类型和确定锚喷支护参数提供了依据。
 
	
		锚喷支护巷道围岩分类 
		 
	 
 
	
		锚喷支护巷道围岩分类(续) 
		 
	 
 
	四、围岩松动圈分级法 
	巷道开挖后会在围岩中形成一个破裂带,称为松动圈 。可按照松动圈的大小对围岩进行综合分级,这种方法是地应力和围岩强度的综合反映。松动圈越大,围岩收敛变形量越大,支护越困难。
	
		
			 
			巷道开挖后的围岩状态 
		 
		
			 
			松动圈测试图 
		 
	 
 
	
		巷道支护围岩松动圈分级表 
		 
	 
 
	五、按围岩变形量大小分级 
	巷道的稳定性最终体现在巷道开挖后围岩的变形特征与变形量的大小。因此,原中国煤炭科学研究院段振西教授提出以围岩变形特征和变形量的大小进行围岩分级。
 
	
		按围岩变形量制定的围岩分级 
		 
	 
 
	作  业 
	
		解释岩石、岩块和岩体的区别与联系。 
		表示岩石物理性质的主要指标有哪些?其对岩体力学性质有什么影响? 
		简述岩石在单向压缩条件下的变形特征。 
		与单向压缩相比,三向压力作用下岩石的力学性质有哪些变化? 
		什么是岩石的坚固性系数 f  ?什么是 RQD 分级法?